Fundamental Technologies

Voyager LECP Pages

An Analysis of the Performance of the Magnetic Deflection System in the Voyager Low Energy Charged Particle Experiment

by Sheela Shodhan

Appendix C
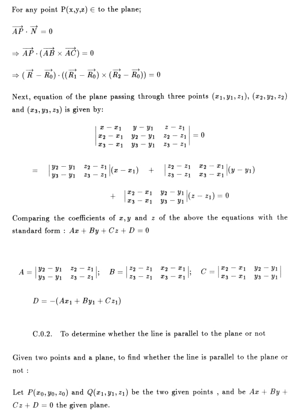
Equations and Their Derivations

Appendix D

Return to thesis table of contents.
Return to Voyager LECP Data Analysis Handbook Table of Contents.
Return to Fundamental Technologies Home Page.

Last modified 12/9/02, Tizby Hunt-Ward
tizby@ftecs.com