Fundamental Technologies

Voyager LECP Pages

An Analysis of the Performance of the Magnetic Deflection System in the Voyager Low Energy Charged Particle Experiment

by Sheela Shodhan

Chapter 3. Modelled Magnetic Field (continued)

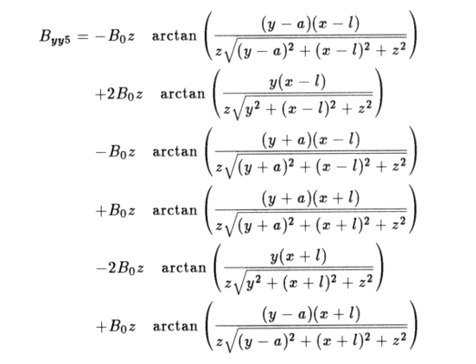
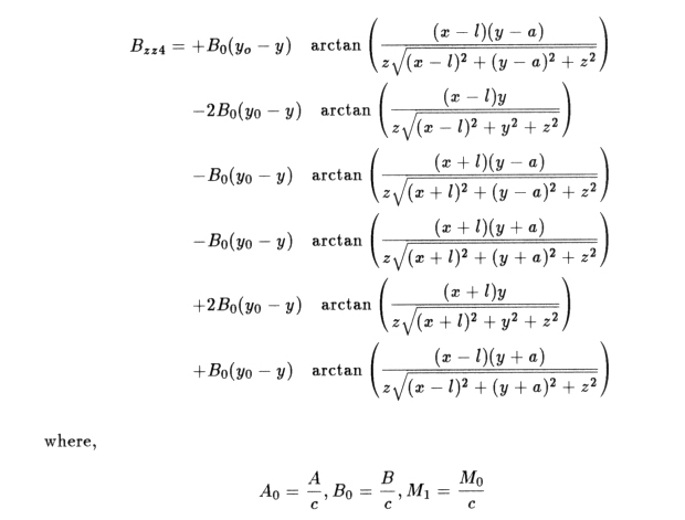
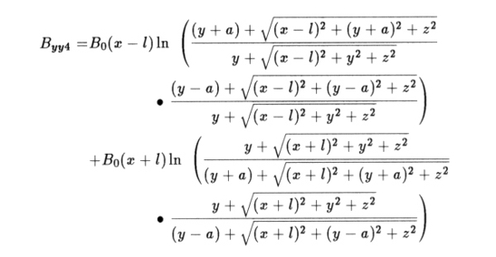
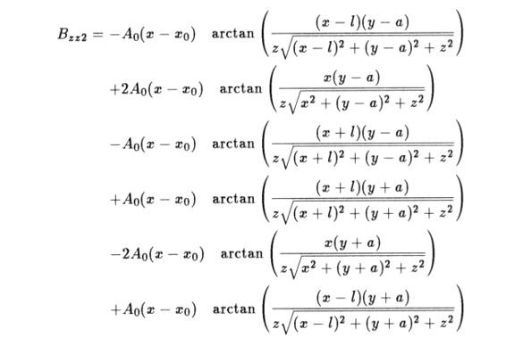
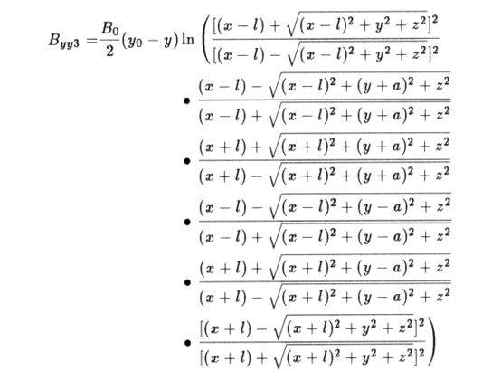
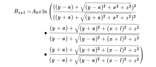
are the magnetisation constants whose values are found by normalising to fit the experimental values of the field,

l = half length of the magnet,

a = half breadth of the magnet.

Thus, the magnetic field due to a single slab of negligible thickness with origin at the centre of the coordinate system can be determined everywhere.

However, here the magnetic field is produced by two tilted magnets, each of whose coordinate system is rotated and translated with respect to the experimental coordinate system. Both the magnets are rotated about their x-axis, one counterclockwise by 20 degrees and the other clockwise by the same amount.

Now an observation point in the experimental coordinate system has to be expressed in the coordinate system centred at each of the magnets so that these expressions can be used. Therefore, the observation point must be rotated and translated appropriately.

Figure 3.2. The configuration of the magnets. The left magnet rotated counterclockwise while the right magnet clockwise by 20 degrees.

(x,y,z) is a point in the experimental coordinate system and d is the distance between the magnets.

The superposition of the magnetic field due to these two magnets results in a total field that is fringing and inhomogeneous. The projection of the magnetic field lines computed by this model on the xy plane and the yz plane is included in Appendix A. The fringing and the inhomogeneity of the field are clearly demonstrated. Also, included in Appendix A are the experimentally observed values of the magnetic field and those calculated from the above model.

Figure 3.3. Projection of the magnets on the yz plane showing the rotated and the translated coordinate systems centred at each of the magnets.

Chapter 4
Return to thesis table of contents.

Return to Voyager LECP Data Analysis Handbook Table of Contents.
Return to Fundamental Technologies Home Page.

Last modified 8/23/05, Tizby Hunt-Ward
tizby@ftecs.com