Fundamental Technologies

Voyager LECP Pages

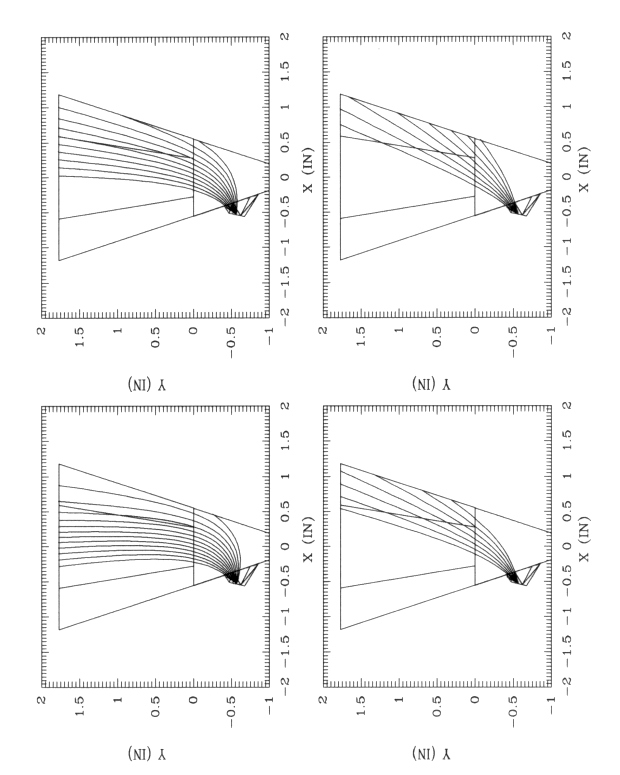
Figure 5.6. Particle trajectories emanating from the point (-0.537177,-0.570312,0.0) of the Gamma detector; from l to r (in keV.); top E=500, E=720; bottom E=1440, E=2880.

Return to thesis table of contents.

Return to Voyager LECP Data Analysis Handbook Table of Contents.
Return to Fundamental Technologies Home Page.

Last modified 12/9/02, Tizby Hunt-Ward
tizby@ftecs.com