Fundamental Technologies

Voyager LECP Pages

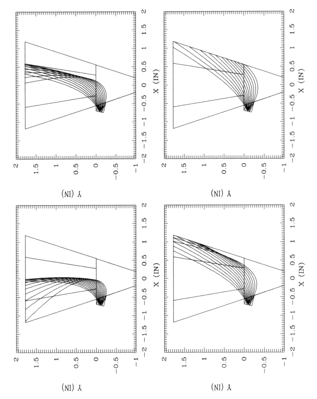
Figure 5.7. Particle trajectories emanating from the point (-0.718812,-0.09375,0.0) of the Beta detector; from l to r (in keV.); top E=80, E=160; bottom E=320, E=480.

Return to thesis table of contents.

Return to Voyager LECP Data Analysis Handbook Table of Contents.
Return to Fundamental Technologies Home Page.

Last modified 12/9/02, Tizby Hunt-Ward
tizby@ftecs.com