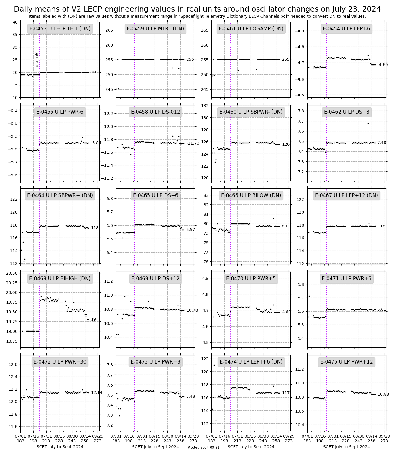
The Ultra Stable Oscillator on Voyager 2 was turned off and the auxiliary oscillator was turned on July 23, 2024 SCET


The plot of raw engineering values shows that several LECP low voltages increased after the oscillator changes and the LEMP telescope temperature increased slightly. The LOG AMP and Motor temperatures remain pegged at their highest raw values.

V2_Meas_MRT_Engineering V2_TTEMP_2024

Several singles rates changed after the oscillators were turned off and on. Most LEMPA rates did not change after USO off except for Eγ rates that increased to values slightly higher than they had before voltage management.

AL AR E1 E2 E3 E4 E5 Eg06 Eg07 Eg08

The LEPT and LEMPA rate spikes stopped after the oscillator changes

V2_LPPWR30V_July_2024 CH31 V2_CH13_July_2024 V2_CH17_July_2024 V2_CH46_July_2024 V2_CH47_July_2024 V2_PL01_July_2024 V2_PL02_July_2024 V2_Eb01_July_2024 V2_Ebp01_July_2024