Fundamental Technologies

Voyager LECP Pages

An Analysis of the Performance of the Magnetic Deflection System in the Voyager Low Energy Charged Particle Experiment

by Sheela Shodhan

Chapter 3. Modelled Magnetic Field

The magnetic field inside the sensor subsystem which is responsible for achieving the separation of the ions from the electrons is produced by two tilted sintered Cobalt-Samarium rare earth magnets.

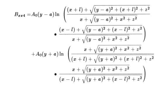
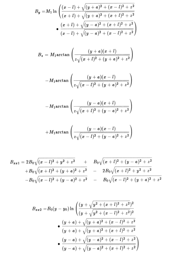
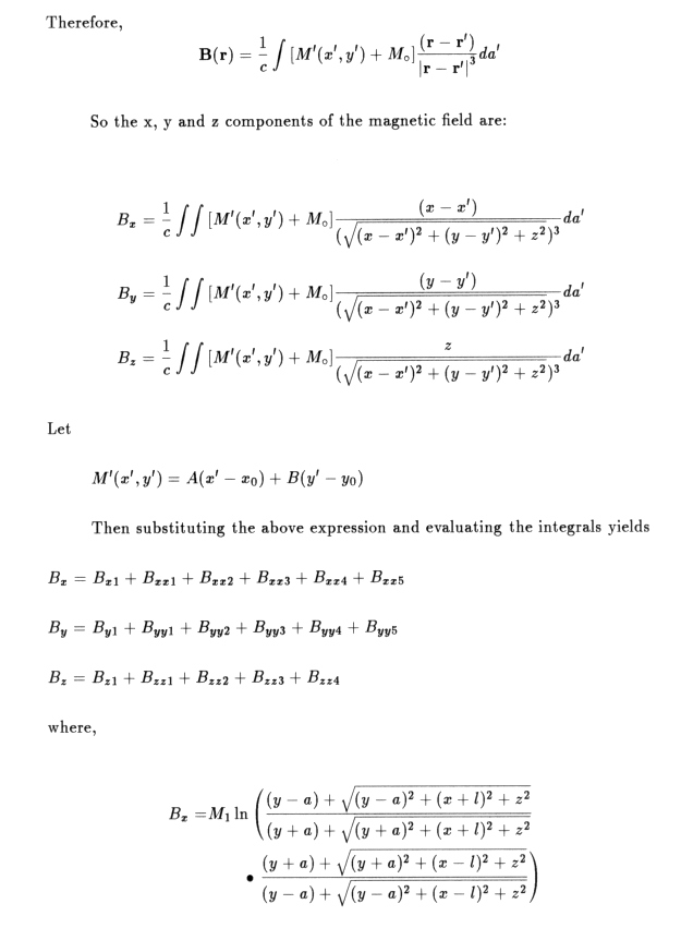
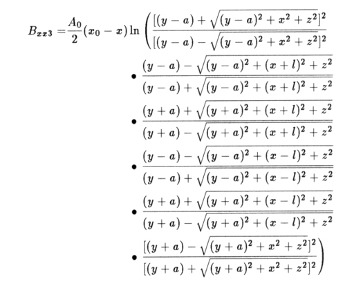
The magnetic field due to a slab of magnet with negligible thickness lying in the xy plane with its centre at the origin is given by [4]

Chapter Three, continued
Return to thesis table of contents.

Return to Voyager LECP Data Analysis Handbook Table of Contents.
Return to Fundamental Technologies Home Page.

Last modified 12/9/02, Tizby Hunt-Ward
tizby@ftecs.com